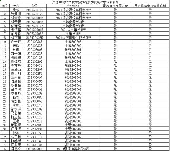
导航痕迹 四川农业大学 资源学院 学院首页 通知公告 正文 学院新闻 通知公告 科研动态 就业服务 学生工作 聚焦资源 师生风采 关于确定2025年秋季发展对象及推荐参加党校培训学员名单公示 2025年10月16日 根据《中国共产党章程》、省教育工委《关于加强新形势下发展党员和党员管理工作的实施意见》,按照“控制总量、优化结构、提高质量、发挥作用”的总要求,经各党支部考察推荐、学院党委审批,现确定严子佳等36位同志为2025年秋季学期发展对象,推荐王雁西等31位同志参加本期校党校发展对象培训班培训,现将具体名单公示如下,公示期为2025年10月16日——2025年10月22日。 公示期间,若有异议请及时以真实姓名向资源学院党委办公室刘丹反映。 地 点:3教316室。 中共四川农业大学资源学院委员会 2025年10月16日 上一条:资源学院关于2024-2025学年“陈育新优秀学生奖学金二等奖”和“优秀学生奖学金”拟评结果的公示 下一条:学院关于做好2025-2026学年(上)发展团员工作的通知 【关闭】